|
无障碍
|
微信
|
长者模式
关闭长者模式
|
登录/注册
用户中心
网站首页
要闻动态
政务公开
政务服务
互动交流
走进东河
智能搜索
当前位置:
首页
>
政务公开
>
政府信息公开
>
法定主动公开内容
>
安全生产、应急管理
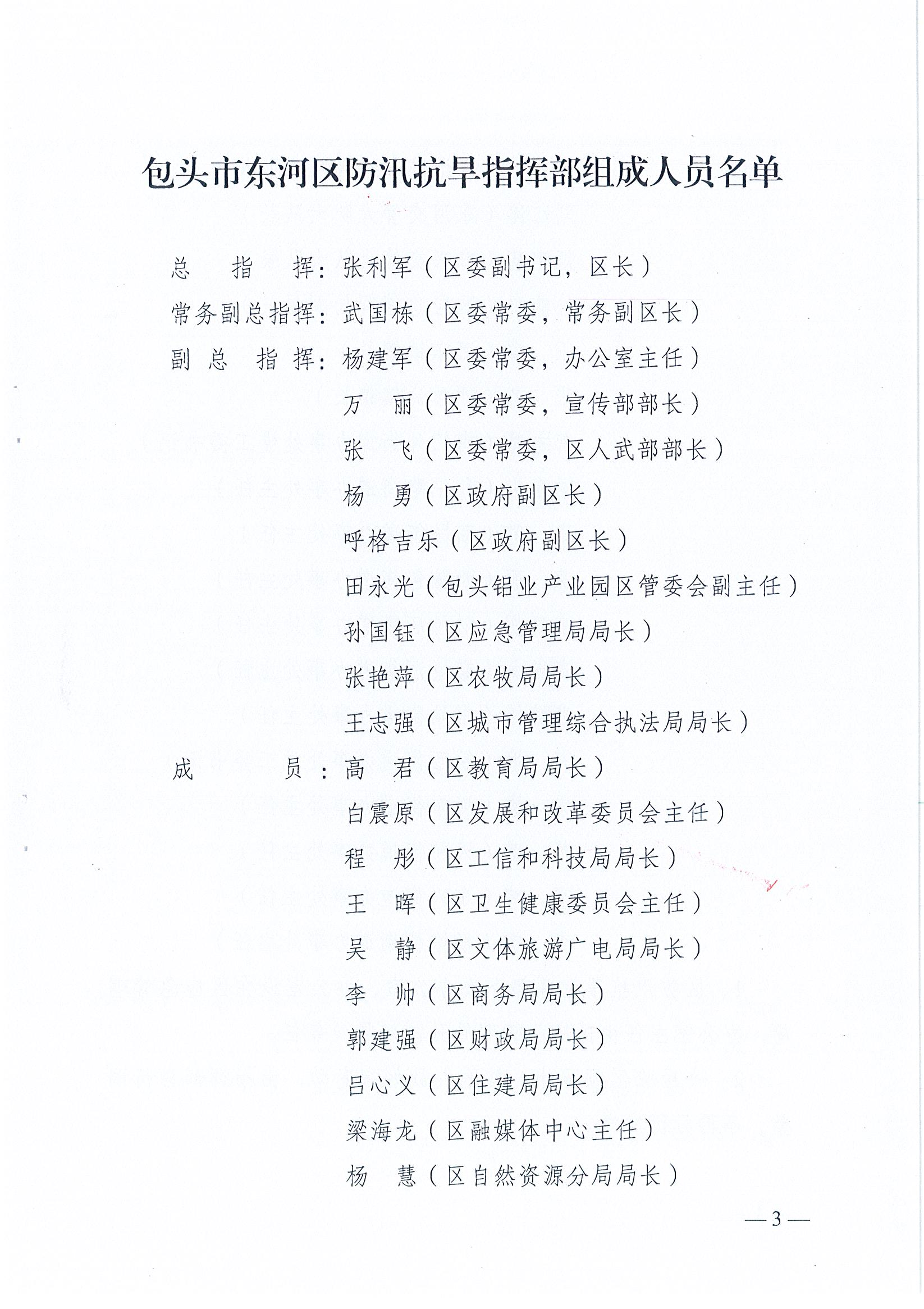
东河区防汛抗旱指挥部组成人员名单及东河区防汛抗旱行政责任人名单
发文时间:2025-05-23
资料来源:包头市东河区应急管理局
字体
大
中
小
打印
关闭
分享到: